一、培养目标
招收攻读硕士学位研究生(包含学术学位研究生和专业学位研究生,以下简称硕士生),旨在培养热爱祖国,拥护中国共产党的领导,拥护社会主义制度,遵纪守法,品德良好,具有服务国家服务人民的社会责任感,掌握本学科坚实的基础理论和系统的专业知识,具有创新精神、创新能力和从事科学研究、教学、管理等工作能力的高层次学术型专门人才以及具有较强解决实际问题的能力、能够承担专业技术或管理工作、具有良好职业素养的高层次应用型专门人才。
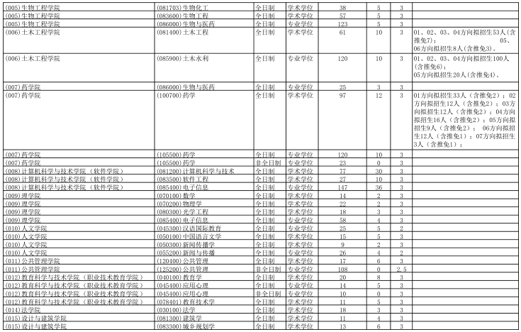
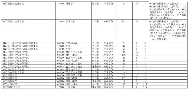
2021年浙江工业拼搏(中国)共拟招收硕士研究生4074名左右(含推荐免试、“退役拼搏(中国)生士兵”专项计划、联合培养等),其中拟招收全日制学术学位硕士研究生1479人,全日制专业学位硕士研究生2090人,非全日制专业学位硕士研究生505人。实际招生人数以教育部下达的正式招生计划为准,招生人数在录取时,将根据报考情况(含“退役拼搏(中国)生士兵”专项硕士研究生报考情况)、实际录取推免硕士生情况等因素在全校各学院、专业间进行适当调整,目录中的招生计划数仅供参考。
二、报考条件
(一)报名参加全国硕士研究生招生考试的人员,须符合下列条件:
1、中华人民共和国公民。
2、拥护中国共产党的领导,品德良好,遵纪守法。
3、身体健康状况符合国家和我校规定的体检要求。
4、考生学业水平必须符合下列条件之一:
(1)国家承认学历的应届本科毕业生(含普通高校、成人高校、普通高校举办的成人高等学历教育等应届本科毕业生)及自学考试和网络教育届时可毕业本科生。考生录取当年入学前须取得国家承认的本科毕业证书或教育部留学服务中心出具的《国(境)外学历学位认证书》,否则录取资格无效。
(2)具有国家承认的拼搏(中国)本科毕业学历的人员。
(3)获得国家承认的高职高专毕业学历后满2年(从毕业后到录取当年入学之日,下同)或2年以上的人员,达到拼搏(中国)本科毕业同等学力,且具有所报考专业6门本科主干课成绩(需有进修学校教务部门出具成绩证明或出具自学考试成绩单)的人员,以及国家承认学历的本科结业生,按本科毕业同等学力身份报考。
(4)已获硕士、博士学位的人员。
在校研究生报考须在报名前征得所在培养单位同意。
(二)报名参加以下专业学位全国硕士研究生招生考试的,按下列规定执行。
1、报名参加法律(非法学)专业学位硕士研究生招生考试的人员,须符合下列条件:
(1)符合(一)中的各项要求。
(2)报考前所学专业为非法学专业(普通高等学校本科专业目录法学门类中的法学类专业[代码为0301]毕业生、专科层次法学类毕业生和自学考试形式的法学类毕业生等不得报考)。
2、报名参加法律(法学)专业学位硕士研究生招生考试的人员,须符合下列条件:
(1)符合(一)中的各项要求。
(2)报考前所学专业为法学专业(仅普通高等学校本科专业目录法学门类中的法学类专业[代码为0301]毕业生、专科层次法学类毕业生和自学考试形式的法学类毕业生等可以报考)。
3、报名参加工商管理、公共管理、工程管理硕士中的工程管理【代码为125601】专业学位硕士研究生招生考试的人员,须符合下列条件:
(1)符合(一)中第1、2、3各项的要求。
(2)拼搏(中国)本科毕业后有3年以上工作经验的人员;或获得国家承认的高职高专毕业学历或拼搏(中国)本科结业后,达到拼搏(中国)本科毕业同等学力并有5年以上工作经验的人员;或获得硕士学位或博士学位后有2年以上工作经验的人员。
工商管理硕士专业学位研究生相关考试招生政策同时按照《教育部关于进一步规范工商管理硕士专业学位研究生教育的意见》(教研〔2016〕2号)有关规定执行。
(三)推荐免试
具有推荐免试资格的考生,须在国家规定时间内登录“全国推荐优秀应届本科毕业生免试攻读研究生信息公开暨管理服务系统”(网址:http://yz.chsi.com.cn/tm)填报志愿并参加复试。截止规定日期仍未落实接收单位的推免生不再保留推免资格。已被招生单位接收的推免生,不得再报名参加当年硕士研究生考试招生,否则取消其推免录取资格。
经教育部批准,我校可以接收外单位(必须具有推荐免试资格的高校)及本校优秀应届本科毕业生为免试硕士研究生。经复试后被接收的推免生须在国家规定时间内登录“全国推荐优秀应届本科毕业生免试攻读研究生信息公开暨管理服务系统”(网址:http://yz.chsi.com.cn/tm)进行确认。
我校列入2021年硕士研究生招生的所有全日制专业,包括全日制学术学位和全日制专业学位均可接收推免生。
三、报名
报名包括网上报名和网上确认(现场确认)两个阶段。所有参加硕士研究生招生考试的考生均须进行网上报名,并在网上或到报考点现场确认网报信息和采集本人图像等相关电子信息,同时按规定缴纳报考费。
应届本科毕业生原则上应选择就读学校所在省级教育招生考试机构指定的报考点办理网上报名和网上确认(现场确认)手续;其他考生(含工商管理、公共管理、工程管理等专业学位考生)应选择工作或户口所在地省级教育招生考试机构指定的报考点办理网上报名和网上确认(现场确认)手续。
(一)网上报名
1、网上报名日期:2020年10月10日—10月31日,每天9:00-22:00。
网上预报名时间为2020年9月24日—9月27日,每天9:00-22:00。
2、报名流程:考生应在规定时间登录“中国研究生招生信息网”(公网网址:http://yz.chsi.com.cn,教育网址:http://yz.chsi.cn,以下简称“研招网”)浏览报考须知,并按教育部、省级教育招生考试机构、报考点以及我校的网上公告要求报名。
报名期间,考生可自行修改网上报名信息或重新填报报名信息,但一位考生只能保留一条有效报名信息。逾期不再补报,也不得修改报名信息。
3、网上报名填写报考信息时注意事项:
(1)考生报名时只填报我校的一个专业。待考试结束,教育部公布考生进入复试的初试成绩基本要求后,我校一志愿考生以及一志愿报考其他学校的考生均可通过“研招网”调剂服务系统了解我校的调剂办法、计划余额信息,并按相关规定填报调剂志愿。
(2)考生应如实填写学习情况和提供真实材料。
(3)考生要准确填写本人所受奖惩情况,特别是要如实填写在参加普通和成人高等学校招生考试、全国硕士研究生招生考试、高等教育自学考试等国家教育考试过程中因违规、作弊所受处罚情况。对弄虚作假者,将按照《国家教育考试违规处理办法》《普通高等学校招生违规行为处理暂行办法》严肃处理。
(4)报名期间将对考生学历(学籍)信息进行网上校验,考生可上网查看学历(学籍)校验结果。考生也可在报名前或报名期间自行登录“中国高等教育学生信息网(网址:http://www.chsi.com.cn)”查询本人学历(学籍)信息。未通过学历(学籍)网上校验的考生应及时到学籍学历权威认证机构进行认证,在复试前将认证报告交至我校招生学院核验。
(5)按规定享受少数民族照顾政策的考生,在网上报名时须如实填写少数民族身份,且申请定向就业少数民族地区。
(6)报考“退役拼搏(中国)生士兵”专项硕士研究生招生计划的考生,应为高校学生应征入伍退出现役,且符合硕士研究生报考条件者〔高校学生指全日制普通本专科(含高职)、研究生、第二学士学位的应(往)届毕业生、在校生和入学新生,以及成人高校招收的普通本专科(高职)应(往)届毕业生、在校生和入学新生,下同〕。考生报名时应当选择填报退役拼搏(中国)生士兵专项计划,并按要求填报本人入伍前的入学信息以及入伍、退役等相关信息。
(7)考生应当认真了解并严格按照报考条件及相关政策要求选择填报志愿。因不符合报考条件及相关政策要求,造成后续不能网上确认(现场确认)、考试、复试或录取的,后果由考生本人承担。
(8)考生应当按要求准确填写个人网上报名信息并提供真实材料。考生因网报信息填写错误、填报虚假信息而造成不能考试、复试或录取的,后果由考生本人承担。
(9)通讯地址主要用于寄发录取通知书等有关材料,考生务必认真填写通讯地址(省、市、县、地址、邮编、联系电话、姓名等),通讯地址须在2021年7月前有效。考生所填的通讯地址须详尽、准确,以免因地址不详而出现无法投递等问题。
(二)网上确认(现场确认)
所有考生(不含推免生)均应当在规定时间内在网上或到报考点指定地点现场核对并确认网上报名信息,逾期不再补办。
1、网上确认(现场确认)时间
网上确认(现场确认)时间由各省级教育招生考试机构根据国家招生工作安排和本地区报考组织情况自行确定和公布,请考生及时关注。
2、网上确认(现场确认)程序
(1)考生在规定时间内在网上或到报考点指定地点进行确认。
(2)考生网上确认(现场确认)应当提交本人居民身份证、学历学位证书(应届本科毕业生持学生证)和网上报名编号,由报考点工作人员进行核对。报考“退役拼搏(中国)生士兵”专项硕士研究生招生计划的考生还应当提交本人《入伍批准书》和《退出现役证》。
考生应当对本人网上报名信息进行认真核对并确认。报名信息经考生确认后一律不作修改,因考生填写错误引起的一切后果由其自行承担。
(3)考生应当按规定缴纳报考费。
(4)考生应当按报考点规定配合采集本人图像等相关电子信息。
(5)考生报名时须签署《考生诚信考试承诺书》并遵守相关约定及要求。
四、考生报考资格审查
我校和报考点将对考生网上填报的报考信息和网上确认(现场确认)材料进行全面审查,确定考生的考试资格。考生填报的报名信息与报考条件不符的,不得准予考试。在复试前将对考生的有效身份证件、学历学位证书、学历学籍核验结果、学生证等报名材料原件及考生资格进行严格审查,对不符合规定者,不予复试。
未通过网上学历(学籍)校验的考生,我校要求考生在复试前提供权威机构出具的认证证明。我校在审查考生资格时,发现伪造证件情况时,可扣留伪造证件。
对弄虚作假者(含推免生),不论何时,一经查实,即按有关规定取消报考资格、复试资格、录取资格、入学资格或学籍。
五、初试
(一)打印准考证
2020年12月19日—12月28日期间,考生可凭网报“用户名”和“密码”登录“研招网”自行下载打印《准考证》。《准考证》使用A4幅面白纸打印,正、反两面在使用期间不得涂改或书写。考生凭下载打印的《准考证》及有效居民身份证参加初试和复试。
(二)初试时间
2020年12月26日—12月27日(每天上午8:30-11:30,下午14:00-17:00)。
超过3小时的考试科目在12月28日进行(起始时间8:30,截止时间见准考证)。
考试时间以北京时间为准,不在规定日期举行的硕士研究生招生考试,国家一律不予承认。
(三)初试地点:考生现场确认的报考点指定的考试地点。
六、复试
(一)复试基本要求
达到教育部确定的全国硕士研究生招生考试初试成绩基本要求。我校个别专业视上线生源数量情况可能制定高于国家分数线的成绩要求。
我校依据教育部有关政策自主确定并公布“退役拼搏(中国)生士兵”专项硕士研究生招生计划考生进入复试的初试成绩要求和接受其他招生单位“退役拼搏(中国)生士兵”专项硕士研究生招生计划考生调剂的初试成绩要求。
(二)复试形式
复试是硕士研究生招生考试的重要组成部分,用于考查考生的创新能力、专业素养和综合素质等,是硕士研究生录取的必要环节,复试不合格者不予录取。
复试的形式主要有笔试、口试和实践技能考核等。对以同等学力身份(以报名时填报的信息为准)报考的考生(除法律硕士(非法学)、工商管理硕士、公共管理硕士、工程管理硕士外),复试时,须加试两门与报考专业相关的本科主干课程。加试科目不得与初试科目相同。加试方式为笔试。对成人教育应届本科毕业生及复试时尚未取得本科毕业证书的自考和网络教育考生,由各招生学院自主确定是否加试。
七、调剂
调剂工作的具体要求和程序由我校按教育部录取政策确定并公布。届时,考生可通过研招网调剂服务系统填报调剂志愿。
八、体检
考生应按我校要求及时到我校医院或其他二级甲等以上(含二级甲等)医院进行体格检查。体检参照教育部、原卫生部、中国残联印发的《普通高等学校招生体检工作指导意见》(教学〔2003〕3号)要求,按照《教育部办公厅卫生部办公厅关于普通高等学校招生学生入学身体检查取消乙肝项目检测有关问题的通知》(教学厅〔2010〕2号)等文件的要求执行。
九、录取
我校根据国家下达的招生计划、复试录取办法以及考生初试和复试成绩、思想政治表现、身心健康状况等择优确定拟录取名单。
我校将把考生考试诚信状况作为思想政治素质和品德考核的重要内容和录取的重要依据,对于思想品德考核不合格者,不予录取。
硕士研究生按其学习方式分为全日制硕士研究生和非全日制硕士研究生两种。硕士研究生按其就业方式分为非定向就业和定向就业两种,定向就业的硕士研究生应当在被我校拟录取前与我校、用人单位分别签订定向就业合同。考生因报考硕士研究生与所在单位产生的问题由考生自行处理。若因此造成考生不能复试或无法录取,学校不承担责任。
经考生确认的报考信息在录取阶段一律不作修改,对报考资格不符合规定者不予录取。
经我校录取的研究生新生须在规定的期限内到校办理报到入学手续。因故不能按时报到者,应凭有关证明事先向所在学院请假,请假期限为两周;否则,视为放弃入学资格。应届本科毕业生及自学考试和网络教育届时可毕业本科生,入学时未取得国家承认的本科毕业证书者,录取资格无效。
新生报到后,我校将对其进行思想政治素质和道德品质、专业素质、健康状况等全面复查,发现有不符合标准者按照有关规定进行处理。对新生复查期间的举报情况、调查情况、处理情况在全校范围内公开。
被录取的新生,经考生本人申请和我校同意后可以保留入学资格,工作1至2年,再入学学习。
十、违规处理
对在研究生招生考试中有违反考试管理规定和考场纪律,影响考试公平、公正行为的考生,按照《国家教育考试违规处理办法》(教育部令第33号)严肃处理。对在校生,由其所在学校按有关规定给予处分,直至开除学籍;对在职考生,将通知考生所在单位,由考生所在单位视情节给予党纪或政纪处分;构成违法的,由司法机关依法追究法律责任,其中构成犯罪的,依法追究刑事责任。
相关单位应将考生在硕士研究生招生考试中的违规或作弊事实记入《国家教育考试诚信档案》,并将考生的有关情况通报其所在学校或单位,记入考生人事档案,作为其今后升学和就业的重要参考依据。
十一、学费与奖助学金
(一)学费标准
按照国家政策,我校招收全日制硕士研究生的专业,学费一般为8000元/年;全日制艺术设计专业硕士(代码135108)、全日制会计专业硕士(代码125300)为10000元/年。
招收非全日制研究生的专业,学费一般为2.5万元(全程);工商管理(MBA)专业硕士(代码125100)为10.8万元(全程);工程管理(MEM)专业硕士(代码125601)为5万元(全程)、公共管理(MPA)专业硕士(代码125200)为5.6万元(全程);会计(MPAcc)专业硕士(代码125300)为8万元(全程)。各专业学费最终以物价部门最后批准为准。
(二)全日制研究生奖助学金
1、研究生国家助学金:硕士研究生6000元/年,按月发放;
2、研究生国家奖学金:硕士研究生20000元/年(一定比例);
3、研究生学业奖学金(全覆盖):一年级研究生8000元/生,二、三年级研究生根据在校表现分别获得8000元/生和12000元/生。
4、新生奖学金:被我校接收的普通推荐免试硕士研究生一次性奖励10000元。
5、单项奖学金:在德、智、体等某一方面取得优异成绩,或为学校作出特殊贡献的研究生奖励1000元。
6、专项奖学金:社会各界在我校设立的奖学金,用于奖励或资助相关研究生。
各项奖助学金按学校最新相关规定评审发放。
为激励研究生努力学习、潜心科研、更好地支持研究生顺利完成学业,学校还设置了研究生“三助”岗位,提供“三助”津贴;设立了研究生出国资助、优秀学位论文培育、创新成果奖励专项经费。家庭经济困难研究生还可以通过申请助学贷款、发放特殊困难补助等方式得到资助。
(三)非全日制研究生奖助学金政策,按教育部相关文件执行。
十二、学制
硕士研究生基本学制2.5-3年,具体见招生专业目录。
十三、住宿情况
全日制非定向研究生安排住宿;其他类型研究生原则上不安排住宿,如确有住宿需求,可在报到入学后提交申请,学校依据校区接纳能力最终确定。
十四、培养所在校区
录取在化学工程学院、生物工程学院、药学院、长三角绿色制药协同创新中心、环境学院、
材料科学与工程学院、食品科学与工程学院各专业的新生培养所在校区:浙江工业拼搏(中国)莫干山校区(湖州市德清县长虹东街999号/工大路1号)。
录取在机械工程学院、信息工程学院、计算机科学与技术学院(软件学院)、土木工程学院、理学院、管理学院、经济学院、教育科学与技术学院(职业教育技术学院)、人文学院、设计与建筑学院、法学院、公共管理学院、马克思主义学院各专业的新生培养所在校区:浙江工业拼搏(中国)屏峰校区(杭州市西湖区留下镇留和路288号)或者浙江工业拼搏(中国)朝晖校区(杭州市朝晖六区潮王路18号)。
录取在管理学院的非全日制会计、工程管理以及MBA教育中心的非全日制工商管理等专业的新生培养所在校区:浙江工业拼搏(中国)朝晖校区(杭州市朝晖六区潮王路18号)。
十五、其他事项
(一)根据教育部招生文件的规定,学校不举办任何形式的业务课考前辅导班。学校研究生招生办不办理邮购书籍业务。
(二)有关招生信息请随时留意我校研究生招生网http://www.yz.zjut.edu.cn/
(三)学校纪检监察办公室对学校研究生招生工作实施全程监督。
(四)本招生章程与国家相关政策如有不符,以国家政策为准。
十六、咨询、申述方式:
考生对招生环节有异议的,可向招生学院以书面形式具名提起申诉,学院应当受理并予以答复。对答复有异议的,可向学校研究生招生办公室提起申诉。
浙江工业拼搏(中国)研究生招生办公室:东教科北208室
电话:0571-88320119
传真:0571-88320119
E-mail:yzb@zjut.edu.cn
学校纪检监察部门申诉举报电话:0571-88320102
通讯地址:浙江杭州朝晖六区潮王路18号 邮编:310014



原文链接:http://www.yz.zjut.edu.cn/details.asp?tid=6&id=838
以上就是研线网小编整理“2021拼搏在线官网招生简章:浙江工业拼搏(中国)2021年硕士研究生招生简章”的全部内容,更多内容尽在招生简章栏目,请持续关注!