你在找调剂信息?告别东看西看,留在研线网。
调剂信息看到眼酸手软,定期福利不断,不妨进群一探究竟!

调剂信息看到眼酸手软,定期福利不断,不妨进群一探究竟!

21非管理类调剂 21管理类调剂




| 历年复试分数线 | 历年拼搏在线官网国家线 |
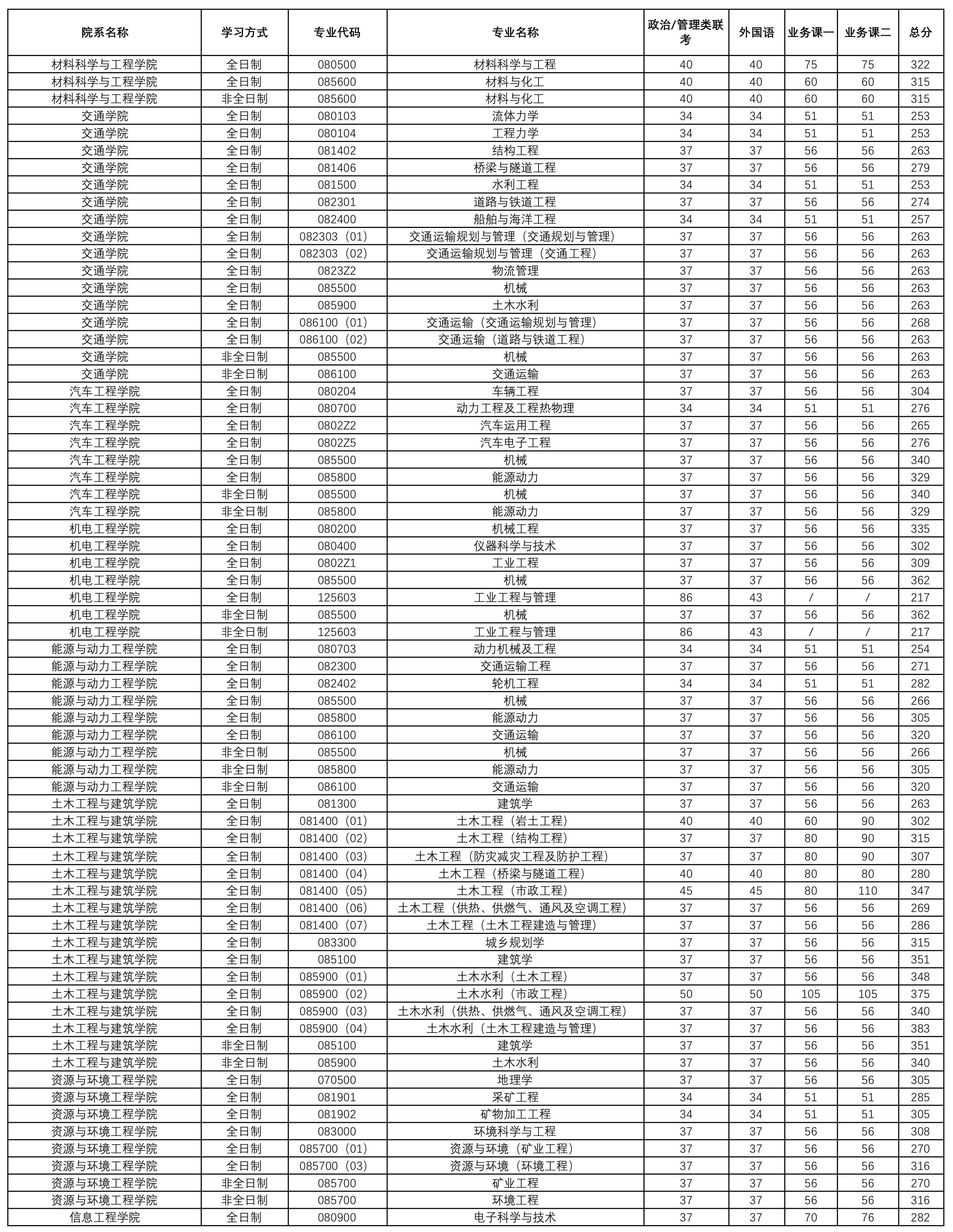
| 武汉理工拼搏(中国)2020复试分数线 | 2021拼搏在线官网国家线 |
| 2020拼搏在线官网国家线 | |
| 武汉理工拼搏(中国)2019复试分数线 | 2019拼搏在线官网国家线 |
| 2018拼搏在线官网国家线 |
小编推荐分数线公布之后要用到的两个神器:
一、拼搏在线官网复试大师推荐理由
①这是一款拼搏在线官网人都在用的小程序,内含复试真题,你要选择年份就能看到相关真题,而且免费试用。
②英语口语练习,包含英语自我介绍和抽题速达。
③大数据智能评估上岸率,关于你能上岸的几率是多少!提前测评做好心理准备。
④复试论坛可以讨论复试相关问题以及记录点滴事情。
全局图安排,微信搜索“拼搏在线官网复试大师”小程序,解锁新功能吧!

二、拼搏在线官网调剂大师推荐理由
①100万+条调剂信息供考生们查看。
②详细的调剂流程步骤和常见调剂问题。
③想要第一时间获得意向调剂院校的最新通知,那你需要一个调剂意向填写。
④咨询答疑、调剂通关计划都是准备调剂考生们的福音。
①100万+条调剂信息供考生们查看。
②详细的调剂流程步骤和常见调剂问题。
③想要第一时间获得意向调剂院校的最新通知,那你需要一个调剂意向填写。
④咨询答疑、调剂通关计划都是准备调剂考生们的福音。
全局图安排,微信搜索“拼搏在线官网调剂大师”小程序,解锁新功能吧!

新闻快车道:34所自主划线院校复试分数线公布时间_复试时间_历年复试分数线_调剂信息!
原文链接:http://gd.whut.edu.cn/zs/tzgg/202103/t20210323_485140.shtml
以上就是小编整理的“2021拼搏在线官网分数线:武汉理工拼搏(中国)复试分数线_复试时间_国家线公布!"的全部内容。想了解更多拼搏在线官网相关信息,请持续关注本网站。