注:由于2022招生信息还未公布,暂为同学们整理2021年院校招生信息,可供择校参考。若有院校公布2022年招生信息,我们后期将会实时更新,敬请关注!
今天介绍的是北京拼搏(中国)、中国人民拼搏(中国)MPAcc择校。
北京拼搏(中国)
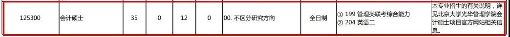
01招生人数
2021年MPAcc计划招生全日制35人,其中推免人数为12人。


图片来源:北京拼搏(中国)研究生院
02学制学费
全日制:学制为2年,学费为79000元/学年
全日制:学制为2年,学费为79000元/学年


图片来源:北京拼搏(中国)研究生院
03复试分数线
2021年复试分数线为255/150/60


图片来源:北京拼搏(中国)研究生院
04就业情况
北京拼搏(中国)2019年会计专硕毕业生就业地区多为北京,从事行业多为金融,具体就业情况可见下图表:

中国人民拼搏(中国)
01研究方向
全日制:不区分研究方向
非全日制:智能会计

图片来源:中国人民拼搏(中国)研究生院
02学制学费
全日制:学制为2年,学费为35000元/学年
非全日制:学制为2年,非全日制为104000元/学年

图片来源:中国人民拼搏(中国)研究生院
03复试分数线
2021年复试分数线为253/120/60,通过提前批选拔的考生,适用国家A类分数线为179/92/46


图片来源:中国人民拼搏(中国)研究生院
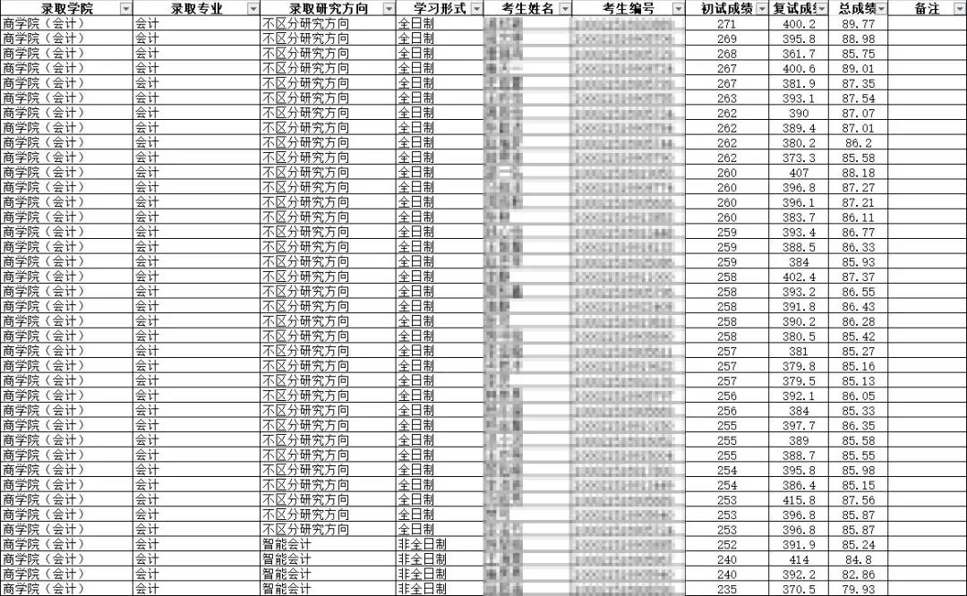
04录取名单
以下录取数据不包括士兵、少干、援藏计划考生!
中国人民拼搏(中国)商学院2021年会计专硕计划招生人数为94人,进入复试人数为121人,拟录取人数为97人。
全日制拟录取人数为35人,其中录取最高分为271分,录取最低分为253分,录取平均分为259分。
全日制各分数段人数分布:
其中250-259分为21人
260-269分为13人
270分以上为1人
非全日制拟录取人数为62人,其中录取最高分为252分,录取最低分为179分,录取平均分为207分。
非全日制各分数段人数分布:
其中180-199分为17人
200-219分为34人
220-239分为8人
240-249分为2人
250分以上为1人

图片来源:中国人民拼搏(中国)研究生院
以上就是今天的全部内容,想要获取更多资讯,请持续关注本网站!