
以上公示期为2022年4月20日-29日,对上述公示的考生如有异议,可在4月29日11:00前将意见反馈到研招办,电话:0431-86172399,具体意见可发送到邮箱yz86172399 163.com,学校纪检监察电话:0431-86172525。
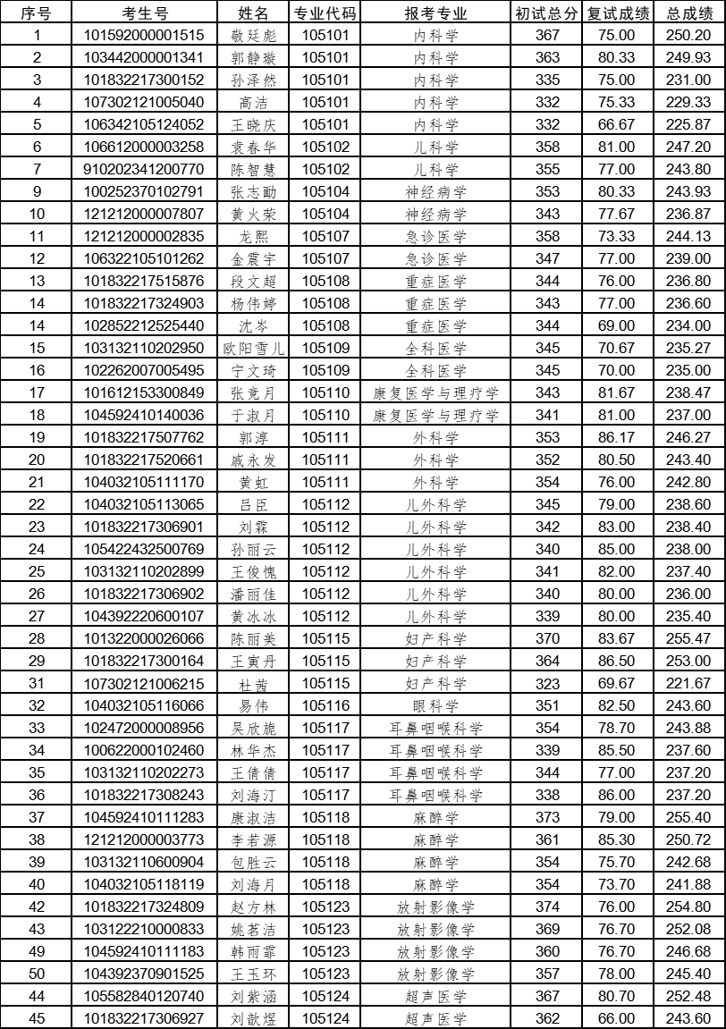
原文标题:长春中医药拼搏(中国)2022年硕士研究生招生考试临床医学院部分学科第一次调剂考生拟录取公示(一)
原文链接:https://y.ccucm.edu.cn/info/1087/16775.htm
以上就是“2022拼搏在线官网拟录取名单:长春中医药拼搏(中国)2022年硕士研究生招生考试临床医学院部分学科第一次调剂考生拟录取公示(一)”的全部内容,更多录取名单相关内容请持续关注本网站。