
以上公示期为2022年4月8日-19日,对上述公示的考生如有异议,可在4月19日11:00前将意见反馈到研招办,电话:0431-86172399,具体意见可发送到邮箱yz86172399@163.com,学校纪检监察电话:0431-86172532。
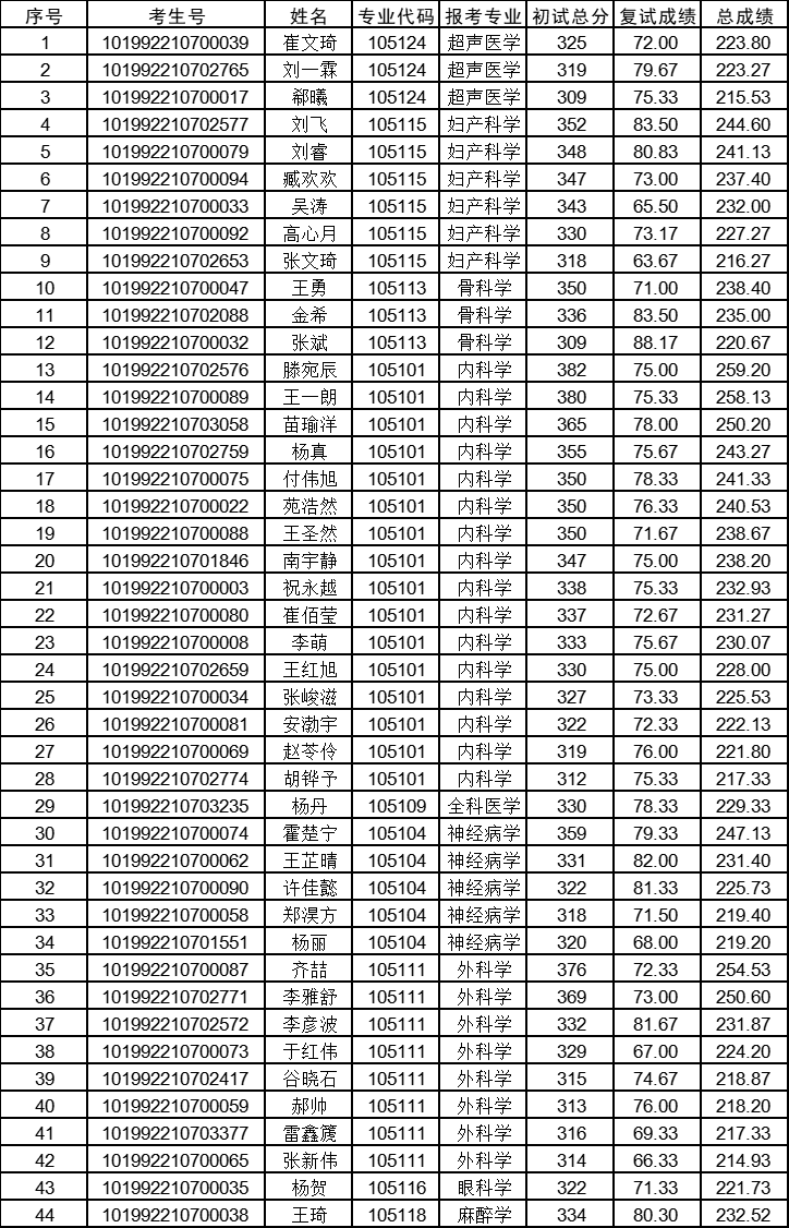
原文标题:长春中医药拼搏(中国)2022年硕士研究生招生考试临床医学各学科第一志愿考生拟录取公示
原文链接:https://y.ccucm.edu.cn/info/1087/16717.htm
以上就是“2022拼搏在线官网拟录取名单:长春中医药拼搏(中国)2022年硕士研究生招生考试临床医学各学科第一志愿考生拟录取公示”的全部内容,更多录取名单相关内容请持续关注本网站。