22拼搏在线官网的同学,往届考生的血泪教训,考得好不如选的好。为了帮助大家更好地择校稳稳上岸,研线网帮大家汇总了“报录比”、“报名人数”“各专业招生情况”、“历年分数线”等院校信息,让你拼搏在线官网入门就“躺赢”。领取方式:关注“研线网”公众号,后台回复“22备考”即可,更多拼搏在线官网资料、资讯,就在研线网!

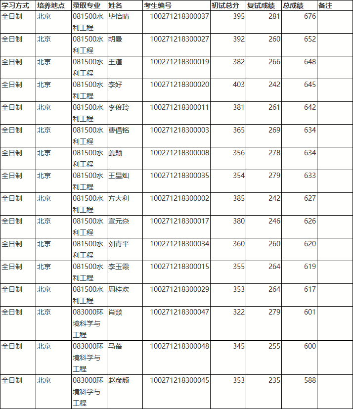
根据教育部和北京市有关文件要求,现将北京师范拼搏(中国)2021年统考拟录取硕士研究生名单予以公示,公示时间自2021年4月3日起至4月19日止。如对本公示名单有异议,请于公示期内与北京师范拼搏(中国)招生办公室联系,联系邮箱:yanzh@bnu.edu.cn。
说明:此名单为拟录取名单,列入名单的考生需上报北京教育考试院和教育部,并经北京教育考试院审查和教育部全国录取联合检查通过后,方列入我校2021年硕士研究生招生正式录取名单。
公费师范生在职攻读教育硕士待确定拟录取名单后另行公示。
北京师范拼搏(中国)招生办公室
2021年4月3日

原文标题:2021年统考拟录取硕士研究生公示说明
原文链接:https://yz.bnu.edu.cn/content/ss_nlqmd/2021/yxs_yxsm-030.html