近日,已有院校公布2021研究生拟录取名单。拼搏在线官网的同学们有没有关注?今天小编就整理了“2021拼搏在线官网拟录取名单:四川拼搏(中国)商学院2021年硕士研究生拟录取名单(学术型)”的相关内容,希望能对大家有所帮助。
22拼搏在线官网的同学,往届考生的血泪教训,考得好不如选的好。为了帮助大家更好地择校稳稳上岸,研线网帮大家汇总了“报录比”、“报名人数”“各专业招生情况”、“历年分数线”等院校信息,让你拼搏在线官网入门就“躺赢”。领取方式:关注“研线网”公众号,后台回复“22备考”即可,更多拼搏在线官网资料、资讯,就在研线网!

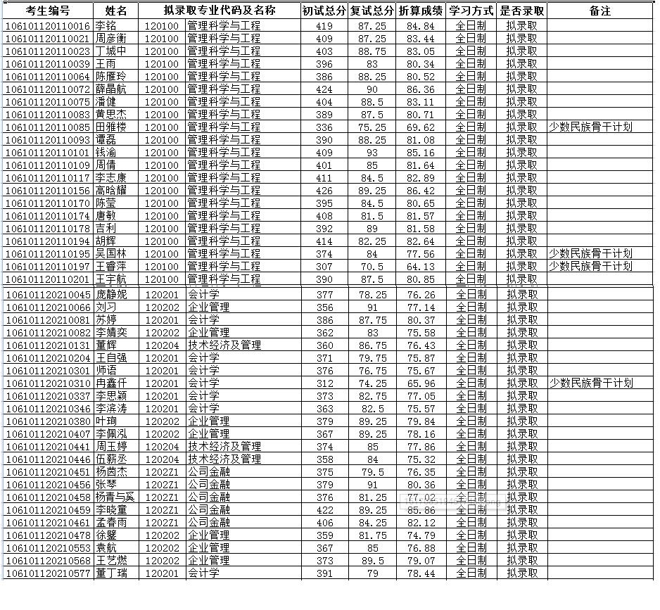
原文标题:四川拼搏(中国)商学院2021年学术型硕士研究生拟录取名单公示
原文链接:http://bs.scu.edu.cn/zhaosheng/202103/7007.html
以上就是“2021拼搏在线官网拟录取名单:四川拼搏(中国)商学院2021年硕士研究生拟录取名单(学术型)”的全部内容,更多录取名单相关内容点击2021拼搏在线官网拟录取名单:全国各大院校2021年硕士研究生拟录取名单汇总!查看详情!