


原文标题:东华拼搏(中国)公示2020级硕士(全日制)研究生研究生拟录取名单公示
原文链接:http://yjszs.dhu.edu.cn/ae/af/c7128a241327/page.htm
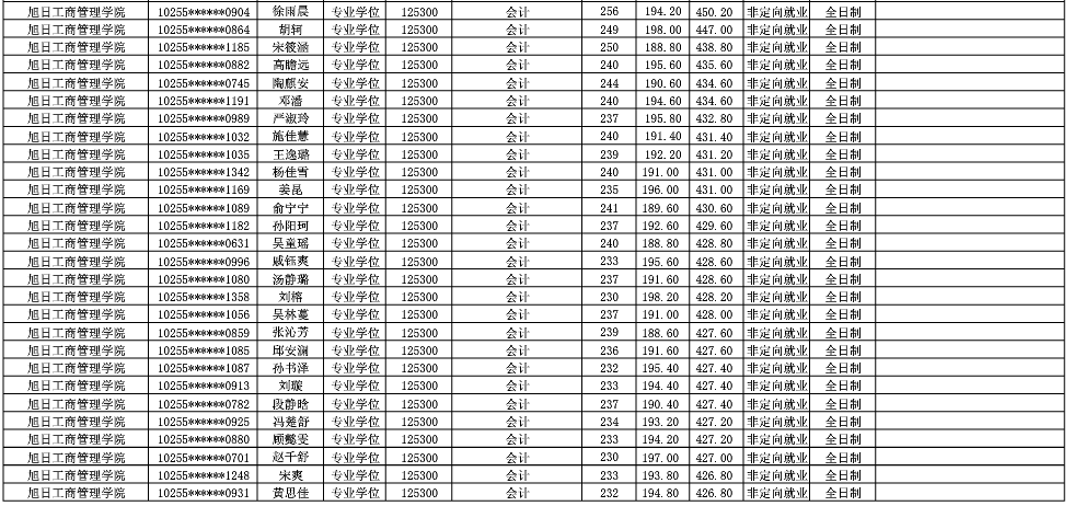
以上就是“2020拼搏在线官网拟录取名单:东华拼搏(中国)2020年硕士研究生招生考试成绩及拟录取名单(会计)”的全部内容,更多录取名单相关内容,尽在“录取名单”栏目!



扫码添加获取各院校复试名单及录取名单
【版权与免责声明】本站所提供的内容除非来源注明研线网,否则内容均为网络转载及整理,并不代表本站赞同其观点和对其真实性负责。文章由本站编辑整理发出,仅供个人交流学习使用。如本站稿件涉及版权等问题,请联系本站管理员予以更改或删除。