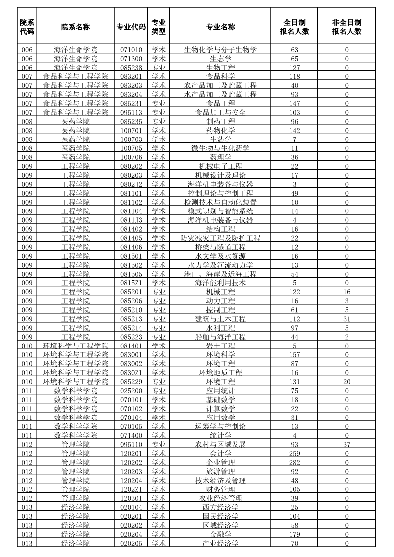
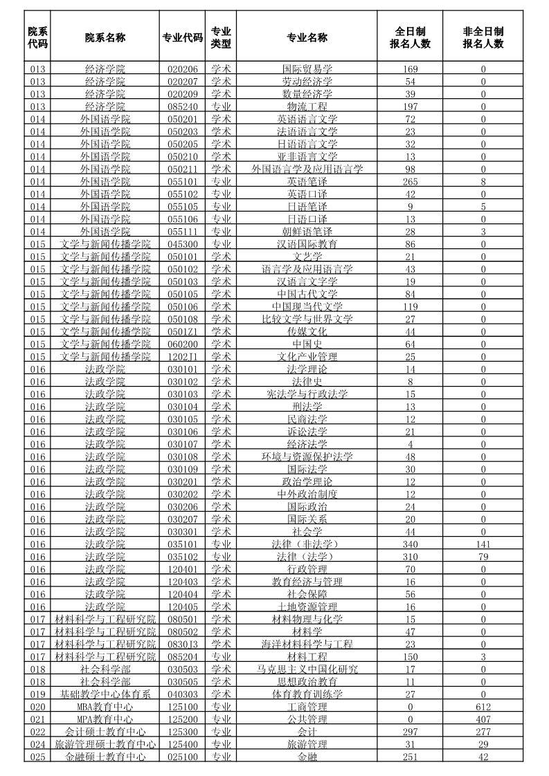
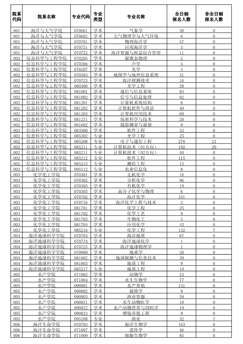
中国海洋拼搏(中国)2017年拼搏在线官网报录比

拼搏在线官网报录比是考生在择校择专业时关注的重点内容之一,因此拼搏在线官网报录比成为考生衡量报考难度的重要因素。为了节省考生们的时间,小编整理了中国海洋拼搏(中国)2017年拼搏在线官网报录比,希望能对大家有所帮助。






 
以上是为考生整理的“中国海洋拼搏(中国)2017年拼搏在线官网报录比”相关内容,希望对大家有帮助!

X

扫码添加获取各院校复试名单及录取名单

【版权与免责声明】本站所提供的内容除非来源注明研线网,否则内容均为网络转载及整理,并不代表本站赞同其观点和对其真实性负责。文章由本站编辑整理发出,仅供个人交流学习使用。如本站稿件涉及版权等问题,请联系本站管理员予以更改或删除。

责任编辑:tjl