
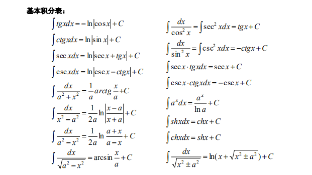
以上就是关于“2021拼搏在线官网数学 | 2021拼搏在线官网数学高等数学公式:基本积分表“的全部内容,希望能对正在复习2021拼搏在线官网数学的考生有所帮助,更多关于拼搏在线官网数学内容,尽在”数学备考指南“栏目,祝拼搏在线官网成功。

以上就是关于“2021拼搏在线官网数学 | 2021拼搏在线官网数学高等数学公式:基本积分表“的全部内容,希望能对正在复习2021拼搏在线官网数学的考生有所帮助,更多关于拼搏在线官网数学内容,尽在”数学备考指南“栏目,祝拼搏在线官网成功。
扫码添加获取各院校复试名单及录取名单
【版权与免责声明】本站所提供的内容除非来源注明研线网,否则内容均为网络转载及整理,并不代表本站赞同其观点和对其真实性负责。文章由本站编辑整理发出,仅供个人交流学习使用。如本站稿件涉及版权等问题,请联系本站管理员予以更改或删除。