研线小课堂开课啦!2021级拼搏在线官网党眼下正是稳抓稳打基础的阶段,小编将为大家更新管理类联考数学知识点解析,滴水穿石,势在必得。今天给大家讲解数学知识点【二项式定理】,看完你就会啦!
在排列组合模块,二项式定理算是一个不大容易让人搞明白并且熟练运用的公式。学习好的学生,记住公式,就能解决大部分简单问题,但遇上难一些的,就没办法熟练解题;学习稍微弱一些的学生,可能公式记起来就容易记混、记错,更别提解决问题了。今天我们就用一篇文章解决你在这方面的痛处。
语言学家告诉我们:“如果不能搞清楚一个概念,那我们就会对这个概念产生理解上模糊、混沌。理解上有偏差,进而行动上就会偏离正确路线,再接着,结果不言自明。”
同样地,一个公式,如果我们不能搞清楚它的前因后果,不能完全搞明白它的推导过程,那我们理解上就容易出差错,进而不知道如何应用,再进而,做题就容易出错。
1,二项式定理的公式是这样的:

公式看起来很简单,背起来也好背,但今天背了,明天可能就忘掉了。这反映了我们其实并没有真正地理解这个公式。那如何叫做真正地理解一个公式呢?考核标准就是:能够推导出来这个公式。
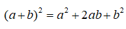
复杂的公式往往是由简单的公式推导出来的。我们先来看一个最简单的公式,这个公式就是我们学过的完全平方式。

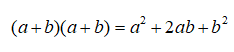
这个公式我们大家都见过,而且很熟悉,那这里问题来了,这个式子是怎么展开的呢?怎么由左边展开到右边的呢?有同学会说,它是这样展开的:

这还是没有触及本质。左边是如何进行运算后,展开成右边的形式的呢?不要不耐烦,一个问题问到底,才是解决这个问题的核心所在。
2,让我们都回到小学程度,这个式子是这样子展开的:
用第一个括号中的去乘以第二个括号中中出来的,然后得到了;
用第一个括号中的去乘以第二个括号中的,得到了一个;
用第一个括号中的去乘以第二个括号中的,又得到了一个;
用第一个括号中的去乘以第二个括号中的,得到了。
也就是说,每次在进行展开的时候,我们让每个括号里出来一个项,两个括号就出来两个项,然后让出来的这两项相乘出来一个结果,所有的项都参与过运算后,汇总起来就是最终的结果。
3,现在我们用同样的方法,来对二项式定理进行分析。

【步骤一】(a+b)的n次方就是n个(a+b)相乘。

在每次运算的时候,每个括号里都只出来一个项,a或者b。n个括号,那就总共是个n项相乘。
【步骤二】现在,我假设要让所有的括号都不出来a,都出来b,那就是出来0个a和n个b。那也就意味着从这n个括号中,挑出个0括号,让它出来0个a,让剩下的n个括号都出来b。
n个括号中,挑出0个括号就是

出来0个a,就是a的0次方;
剩下的n个括号都出来b,就是b的n次方;
合起来就是二项式定理展开的第一项:

【步骤三】接着,我假设要让其中某1个括号出来1个a,剩下的(n-1)个括号都出来b,那就是出来1个a和(n-1)个b。
那也就意味着从这n个括号中,挑出1个括号,让它出来1个a,让剩下(n-1)的个括号都出来b。
n个括号中,挑出个1括号就是

出来1个a,就是a的1次方;
剩下的(n-1)个括号都出来b,就是b的(n-1)次方;
合起来就是二项式定理展开的第二项:

接下来的展开,我们就不再赘述,二项式定理就是这样简单而又朴素地展开并推导出来的。
4,用上述方法我们去做简单的题,直接套用公式就可以了,我们这里不再展示。
一套方法能解决最难的题才能证明它的普适性。那我们就直接用这么朴素的方法,去做最难的题来试试,如下题:

分析:(x²+x+1)的5次方相当于5个(x²+x+1)相乘。

想要x²出来,有2种路径。
第一种:让5个括号中有1个括号里出来1个x²,剩下的4个括号都出来1;
第二种:让5个括号中有2个括号里出来2个3x相乘,剩下的3个括号都出来1。

学会了么?用这个方法,再复杂的题,都可以用最简单的方法做出来,而且速度很快。
以上就是今天的知识点,你学会了吗?