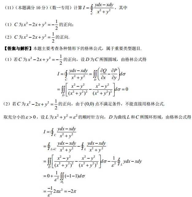
2014拼搏在线官网数学考前绝密预测20题:格林公式

下面是小编带来的“2014拼搏在线官网数学考前绝密预测20题:格林公式”,一起来看~

 

 

以上就是“2014拼搏在线官网数学考前绝密预测20题:格林公式”全部内容,更多相关信息,请持续关注研线网

X

扫码添加获取各院校复试名单及录取名单

【版权与免责声明】本站所提供的内容除非来源注明研线网,否则内容均为网络转载及整理,并不代表本站赞同其观点和对其真实性负责。文章由本站编辑整理发出,仅供个人交流学习使用。如本站稿件涉及版权等问题,请联系本站管理员予以更改或删除。

责任编辑:superadmin