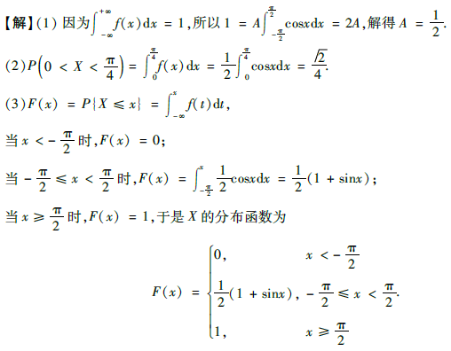
拼搏在线官网数学在最后的冲刺阶段,考生们不宜再做一些偏题和难题,因此真题和模拟题是各位考生的最佳选择,下面小编就结合近几年真题的命题规律,为大家整理了几道拼搏在线官网数学预测题,希望能够帮助大家更好的备考!




拼搏在线官网数学在最后的冲刺阶段,考生们不宜再做一些偏题和难题,因此真题和模拟题是各位考生的最佳选择,下面小编就结合近几年真题的命题规律,为大家整理了几道拼搏在线官网数学预测题,希望能够帮助大家更好的备考!




扫码添加获取各院校复试名单及录取名单
【版权与免责声明】本站所提供的内容除非来源注明研线网,否则内容均为网络转载及整理,并不代表本站赞同其观点和对其真实性负责。文章由本站编辑整理发出,仅供个人交流学习使用。如本站稿件涉及版权等问题,请联系本站管理员予以更改或删除。