2018拼搏在线官网数学:概率与数理统计每日一练(62)

拼搏在线官网数学的复习是一个日积月累的过程,需要我们在平常的生活中一点一滴地积累。 将陆续推出每日一测模块,方便广大考生参考复习。


 
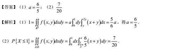
公布前一天答案:



以上就是“2018拼搏在线官网数学:概率与数理统计每日一练(62)”全部内容了,更多相关信息,请持续关注研线网

X

扫码添加获取各院校复试名单及录取名单

【版权与免责声明】本站所提供的内容除非来源注明研线网,否则内容均为网络转载及整理,并不代表本站赞同其观点和对其真实性负责。文章由本站编辑整理发出,仅供个人交流学习使用。如本站稿件涉及版权等问题,请联系本站管理员予以更改或删除。

责任编辑:superadmin