2018拼搏在线官网数学:概率与数理统计每日一练(82)
来源:研线网
人浏览
2021-07-15 19:19:03
我们都知道数学想要获取高分,是不能靠死记硬背、生搬硬套使用公式的,需要掌握一定的做题方法和技巧。因此,将陆续推出拼搏在线官网数学每日一练模块,希望能帮助到2018拼搏在线官网的小伙伴们。
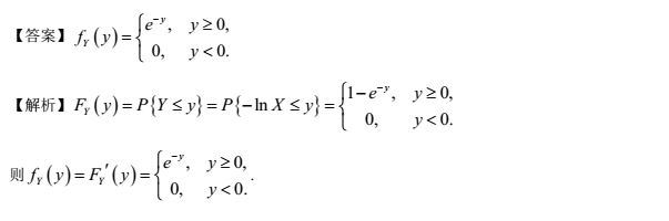
公布前一天答案:
扫码添加获取各院校复试名单及录取名单
【版权与免责声明】本站所提供的内容除非来源注明研线网,否则内容均为网络转载及整理,并不代表本站赞同其观点和对其真实性负责。文章由本站编辑整理发出,仅供个人交流学习使用。如本站稿件涉及版权等问题,请联系本站管理员予以更改或删除。
责任编辑:superadmin