极限中必备的公式:



间断点:

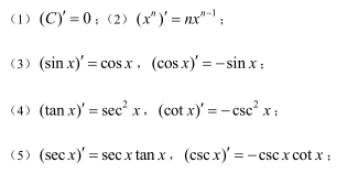
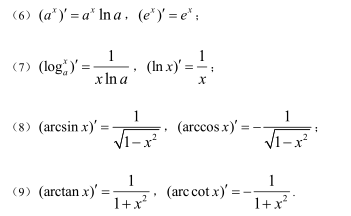
导数公式:




中值定理:

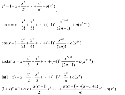
常见函数的麦克劳林展开公式:

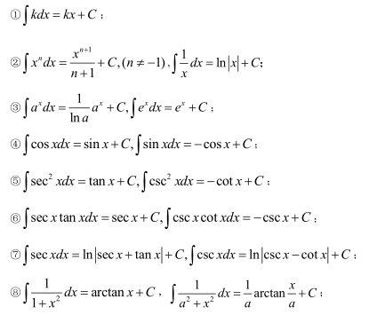
不定积分:

上述是一元函数微积分学高频的使用公式,请多加练习记住。
以上就是今天的全部内容,想要获取更多资讯,请持续关注本网站!



间断点:

导数公式:




中值定理:

常见函数的麦克劳林展开公式:

不定积分:

上述是一元函数微积分学高频的使用公式,请多加练习记住。
以上就是今天的全部内容,想要获取更多资讯,请持续关注本网站!
扫码添加获取各院校复试名单及录取名单
【版权与免责声明】本站所提供的内容除非来源注明研线网,否则内容均为网络转载及整理,并不代表本站赞同其观点和对其真实性负责。文章由本站编辑整理发出,仅供个人交流学习使用。如本站稿件涉及版权等问题,请联系本站管理员予以更改或删除。